 |
This is a file from the Wikimedia Commons. Information from its description page there is shown below. Commons is a freely licensed media file repository. You can help.
|
Summary
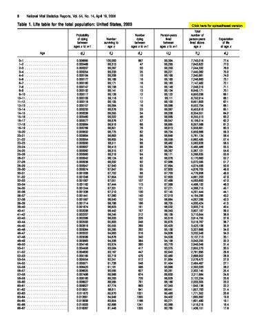
| DescriptionExcerpt from CDC 2003 Table 1.pdf |
English: First page of CDC/NCHS Table 1: Mortality Table for US, 2003
|
| Date |
19 April 2006 |
| Source |
http://www.cdc.gov/nchs/data/nvsr/nvsr54/nvsr54_14.pdf |
| Author |
Elizabeth Arias, Ph.D., Division of Vital Statistics, Natonal Center for Health Statistics, Centre for Disease Control |
Licensing
| Public domainPublic domainfalsefalse |
 |
This image is a work of the Centers for Disease Control and Prevention, part of the United States Department of Health and Human Services, taken or made as part of an employee's official duties. As a work of the U.S. federal government, the image is in the public domain.
česky | Deutsch | English | español | eesti | suomi | français | italiano | македонски | Nederlands | polski | português | slovenščina | 中文 | 中文(简体) | +/−
|
|
File usage
The following pages on Schools Wikipedia link to this image (list may be incomplete):
SOS Children has brought Wikipedia to the classroom. More than 2 million people benefit from the global charity work of SOS Childrens Villages, and our work in 133 countries around the world is vital to ensuring a better future for vulnerable children. If you'd like to help, why not learn how to sponsor a child?