
Chi-squared distribution
About this schools Wikipedia selection
SOS Children made this Wikipedia selection alongside other schools resources. Do you want to know about sponsoring? See www.sponsorachild.org.uk
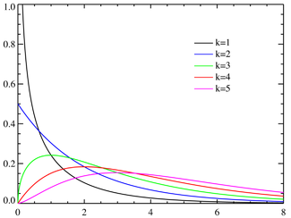
Probability density function![]()  | 
        |
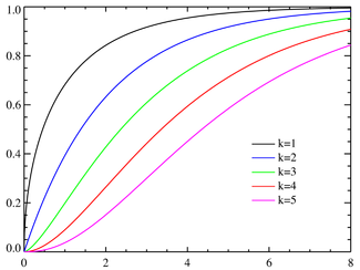
Cumulative distribution function![]()  | 
        |
| Parameters |   degrees of freedom | 
        
|---|---|
| Support | ![]()  | 
        
![]()  | 
        |
| CDF | ![]()  | 
        
| Mean | ![]()  | 
        
| Median | approximately ![]()  | 
        
| Mode |   if ![]()  | 
        
| Variance | ![]()  | 
        
| Skewness | ![]()  | 
        
| Ex. kurtosis | ![]()  | 
        
| Entropy | ![]()  | 
        
| MGF |   for ![]()  | 
        
| CF | ![]()  | 
        
In probability theory and statistics, the chi-square distribution (also chi-squared or 
  distribution) is one of the most widely used  theoretical probability distributions in  inferential statistics, e.g., in  statistical significance tests. It is useful because, under reasonable assumptions, easily calculated quantities can be proven to have distributions that approximate to the chi-square distribution if the  null hypothesis is true.
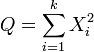
If 
 are k  independent, normally distributed random variables with mean 0 and variance 1, then the random variable
is distributed according to the chi-square distribution. This is usually written
The chi-square distribution has one parameter: 
 - a positive integer that specifies the number of  degrees of freedom (i.e. the number of 
)
The chi-square distribution is a special case of the gamma distribution.
The best-known situations in which the chi-square distribution are used are the common chi-square tests for goodness of fit of an observed distribution to a theoretical one, and of the independence of two criteria of classification of qualitative data. However, many other statistical tests lead to a use of this distribution. One example is Friedman's analysis of variance by ranks.
Characteristics
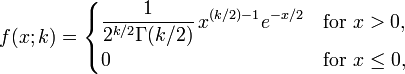
Probability density function
A probability density function of the chi-square distribution is
where 
 denotes the  Gamma function, which takes  particular values at the half-integers.
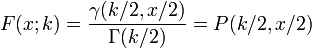
Cumulative distribution function
Its cumulative distribution function is:
where 
 is the  lower incomplete Gamma function and 
 is the  regularized Gamma function.
Tables of this distribution — usually in its cumulative form — are widely available and the function is included in many spreadsheets and all statistical packages.
Characteristic function
The characteristic function of the Chi-square distribution is
Properties
The chi-square distribution has numerous applications in inferential statistics, for instance in chi-square tests and in estimating variances. It enters the problem of estimating the mean of a normally distributed population and the problem of estimating the slope of a regression line via its role in Student's t-distribution. It enters all analysis of variance problems via its role in the F-distribution, which is the distribution of the ratio of two independent chi-squared random variables divided by their respective degrees of freedom.
Normal approximation
If 
, then as 
 tends to infinity, the distribution of 
 tends to normality. However, the tendency is slow (the skewness is 
 and the kurtosis excess is 
) and two transformations are commonly considered, each of which approaches normality faster than 
 itself:
Fisher empirically showed that 
 is approximately normally distributed with mean 
 and unit variance. It is possible to arrive at the same normal approximation result by using moment matching. To see this, consider the mean and the variance of a Chi-distributed random variable 
, which are given by 
 and 
, where 
 is the Gamma function. The particular ratio of the Gamma functions in 
 has the following series expansion  :
 When 
, this ratio can be approximated as follows: 
Then, simple moment matching results in the following approximation of 
: 
, from which it follows that 
.
Wilson and Hilferty showed in 1931 that 
 is approximately normally distributed with mean 
 and variance 
.
The  expected value of a random variable having chi-square distribution with 
 degrees of freedom is 
 and the variance is 
. The median is given approximately by
Note that 2 degrees of freedom lead to an exponential distribution.
Information entropy
The information entropy is given by
where 
 is the  Digamma function.
Related distributions
 is an exponential distribution if 
 (with 2  degrees of freedom).
 is a chi-square distribution if 
 for 
  independent that are normally distributed.- If the 
 have nonzero means, then 
 is drawn from a  noncentral chi-square distribution. - The chi-square distribution 
 is a special case of the  gamma distribution, in that 
. 
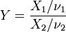
 is an  F-distribution if 
 where 
 and 
 are independent with their respective degrees of freedom.
 is a chi-square distribution if 
 where 
 are independent and 
.- if 
 is chi-square distributed, then 
 is  chi distributed. - in particular, if 
 (chi-square with 2 degrees of freedom), then 
 is  Rayleigh distributed. - if 
 are  i.i.d. 
 random variables, then 
 where 
. - if 
, then 
 
| Name | Statistic | 
|---|---|
| chi-square distribution | ![]()  | 
         
| noncentral chi-square distribution | ![]()  | 
         
| chi distribution | ![]()  | 
         
| noncentral chi distribution | ![]()  | 
         


 degrees of freedom




 if 




 for 












