
Ellipse
Background to the schools Wikipedia
Arranging a Wikipedia selection for schools in the developing world without internet was an initiative by SOS Children. Child sponsorship helps children one by one http://www.sponsor-a-child.org.uk/.

In mathematics, an ellipse (from the Greek ἔλλειψις, literally absence) is a locus of points in a plane such that the sum of the distances to two fixed points is a constant. The two fixed points are called foci (plural of focus). An alternate definition would be that an ellipse is the path traced out by a point whose distance from a fixed point, called the focus, maintains a constant ratio less than one with its distance from a straight line not passing through the focus, called the directrix.
Overview
An ellipse is a type of conic section: if a conical surface is cut with a plane which does not intersect the cone's base, the intersection of the cone and plane is an ellipse. For a short elementary proof of this, see Dandelin spheres.
Algebraically, an ellipse is a curve in the Cartesian plane defined by an equation of the form
such that
, where all of the coefficients are real, and where more than one solution, defining a pair of points (x, y) on the ellipse, exists.
An ellipse can be drawn with two pins, a loop of string, and a pencil. The pins are placed at the foci and the pins and pencil are enclosed inside the string. The pencil is placed on the paper inside the string, so the string is taut. The string will form a triangle. If the pencil is moved around so that the string stays taut, the sum of the distances from the pencil to the pins will remain constant, satisfying the definition of an ellipse.
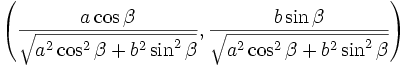
The line segment AB, that passes through the foci and terminates on the ellipse, is called the major axis. The major axis is the longest segment that can be obtained by joining two points on the ellipse. The line segment CD, which passes through the centre (halfway between the foci), perpendicular to the major axis, and terminates on the ellipse, is called the minor axis. The semimajor axis (denoted by a in the figure) is one half the major axis: the line segment from the centre, through a focus, and to the edge of the ellipse. Likewise, the semiminor axis (denoted by b in the figure) is one half the minor axis.
If the two foci coincide, then the ellipse is a circle; in other words, a circle is a special case of an ellipse, one where the eccentricity is zero.
An ellipse centered at the origin can be viewed as the image of the unit circle under a linear map associated with a symmetric matrix
,
being a diagonal matrix with the eigenvalues of
, both of which are real positive, along the main diagonal, and
being a real unitary matrix having as columns the eigenvectors of
. Then the axes of the ellipse will lie along the eigenvectors of
, and the (square root of the) eigenvalues are the lengths of the semimajor and semiminor axes.
An ellipse can be produced by multiplying the x coordinates of all points on a circle by a constant, without changing the y coordinates. This is equivalent to stretching the circle out in the x-direction.
Eccentricity
The shape of an ellipse can be expressed by a number called the eccentricity of the ellipse, conventionally denoted
. The eccentricity is a non-negative number less than 1 and greater than or equal to 0. It is the value of the constant ratio of the distance of a point on an ellipse from a focus to that from the corresponding directrix. An eccentricity of 0 implies that the two foci occupy the same point and that the ellipse is a circle.
For an ellipse with semimajor axis a and semiminor axis b, the eccentricity is
The greater the eccentricity is, the larger the ratio of a to b, and therefore the more elongated the ellipse.
If c equals the distance from the centre to either focus, then
.
The distance c is known as the linear eccentricity of the ellipse. The distance between the foci is 2c or 2aε.
Also,
where
is the angular eccentricity.
Equations
An ellipse with a semimajor axis a and semiminor axis b, centered at the point
and having its major axis parallel to the x-axis may be specified by the equation
.
This ellipse can be expressed parametrically as
where
may be restricted to the interval
.
Parametric form of an ellipse rotated by an angle
:
The formula for the directrixes is
.
If
= 0 and
= 0 (i.e., if the centre is the origin (0,0)), then we can express this ellipse in polar coordinates by the equation
where
is the eccentricity of the ellipse.
With one focus at the origin, the ellipse's polar equation is
.
A Gauss-mapped form:
has normal
.
Semi-latus rectum and polar coordinates
The semi-latus rectum of an ellipse, usually denoted
( lowercase L), is the distance from a focus of the ellipse to the ellipse itself, measured along a line perpendicular to the major axis. It is related to
and
(the ellipse's semi-axes) by the formula
or, if using the eccentricity,
.
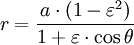
In polar coordinates, an ellipse with one focus at the origin and the other on the negative x-axis is given by the equation
An ellipse can also be thought of as a projection of a circle: a circle on a plane at angle φ to the horizontal projected vertically onto a horizontal plane gives an ellipse of eccentricity sin φ, provided φ is not 90°.
Area and circumference
The area enclosed by an ellipse is πab, where (as before) a and b are the ellipse's semimajor and semiminor axes.
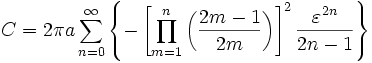
The circumference
of an ellipse is
, where the function
is the complete elliptic integral of the second kind.
The exact infinite series is:
Or:
A good approximation is Ramanujan's:
which can also be written as:
For the special case where the minor axis is half the major axis, we get:
or
(better approximation).
More generally, the arc length of a portion of the circumference, as a function of the angle subtended, is given by an incomplete elliptic integral. The inverse function, the angle subtended as a function of the arc length, is given by the elliptic functions.
Stretching and projection
An ellipse may be uniformly stretched along any axis, in or out of the plane of the ellipse, and it will still be an ellipse. The stretched ellipse will have different properties (perhaps changed eccentricity and semi-major axis length, for instance), but it will still be an ellipse (or a degenerate ellipse: a circle or a line). Similarly, any oblique projection onto a plane results in a conic section. If the projection is a closed curve on the plane, then the curve is an ellipse or a degenerate ellipse.
Reflection property
Assume an elliptic mirror with a light source at one of the foci. Then all rays are reflected to a single point — the second focus. Since no other curve has such a property, it can be used as an alternative definition of an ellipse. In a circle, all light would be reflected back to the centre since all tangents are orthogonal to the radius.
Sound waves are reflected in a similar way, so in a large elliptical room a person standing at one focus can hear a person standing at another focus remarkably well. Such a room is called a whisper chamber. Examples are the National Statuary Hall Collection at the U.S. Capitol (where John Quincy Adams is said to have used this property for eavesdropping on political matters), at an exhibit on sound at the Museum of Science and Industry in Chicago, in front of the University of Illinois at Urbana-Champaign Foellinger Auditorium, and also at a side chamber of the Palace of Charles V, in the Alhambra.
Ellipses in physics
In the 17th century, Johannes Kepler explained that the orbits along which the planets travel around the Sun are ellipses in his first law of planetary motion. Later, Isaac Newton explained this as a corollary of his law of universal gravitation.
More generally, in the gravitational two-body problem, if the two bodies are bound to each other (i.e., the total energy is negative), their orbits are similar ellipses with the common barycenter being one of the foci of each ellipse. The other focus of either ellipse has no known physical significance. Interestingly, the orbit of either body in the reference frame of the other is also an ellipse, with the other body at one focus.
The general solution for a harmonic oscillator in two or more dimensions is also an ellipse, but this time with the origin of the force located at the centre of the ellipse.
In optics, an index ellipsoid describes the refractive index of a material as a function of the direction through that material. This only applies to materials that are optically anisotropic. Also see birefringence.
Ellipses in computer graphics
Drawing an ellipse as a graphics primitive is common in standard display libraries, such as the Macintosh QuickDraw API, the Windows Graphics Device Interface (GDI) and the Windows Presentation Foundation (WPF). Often such libraries are limited and can only draw an ellipse with either the major axis or the minor axis horizontal. Jack Bresenham at IBM is most famous for the invention of 2D drawing primitives, including line and circle drawing, using only fast integer operations such as addition and branch on carry bit. An efficient generalization to draw ellipses was invented in 1984 by Jerry Van Aken (IEEE CG&A, Sept. 1984).
The following is example JavaScript code using the parametric formula for an ellipse to calculate a set of points. The ellipse can be then approximated by connecting the points with lines.
/** * This functions returns an array containing 36 points to draw an * ellipse. * * @param x {double} X coordinate * @param y {double} Y coordinate * @param a {double} Semimajor axis * @param b {double} Semiminor axis * @param angle {double} Angle of the ellipse */ function calculateEllipse(x, y, a, b, angle, steps) { if (steps == null) steps = 36; var points = []; var beta = -angle / 180 * Math.PI; var sinbeta = Math.sin(beta); var cosbeta = Math.cos(beta); for (var i = 0; i < 360; i += 360 / steps) { var alpha = i / 180 * Math.PI; var sinalpha = Math.sin(alpha); var cosalpha = Math.cos(alpha); var X = x + (a * cosalpha * cosbeta - b * sinalpha * sinbeta); var Y = y + (a * cosalpha * sinbeta + b * sinalpha * cosbeta); points.push(new OpenLayers.Geometry.Point(X, Y)); } return points; }
One beneficial consequence of using the parametric formula is that the density of points is greatest where there is the most curvature. Thus, the change in slope between each successive point is small, reducing the apparent "jagginess" of the approximation.












![C = 2\pi a \left[{1 - \left({1\over 2}\right)^2\varepsilon^2 - \left({1\cdot 3\over 2\cdot 4}\right)^2{\varepsilon^4\over 3} - \left({1\cdot 3\cdot 5\over 2\cdot 4\cdot 6}\right)^2{\varepsilon^6\over5} - \dots}\right]\!\,](../../images/93/9311.png)
![C = 2\pi a \sum_{n=0}^\infty {\left\lbrace - \left[\prod_{m=1}^n \left({ 2m-1 \over 2m}\right)\right]^2 {\varepsilon^{2n}\over 2n - 1}\right\rbrace}](../../images/93/9312.png)
![C \approx \pi \left[3(a+b) - \sqrt{(3a+b)(a+3b)}\right]\!\,](../../images/93/9313.png)
![C \approx \pi a \left[ 3 (1+\sqrt{1-\varepsilon^2}) - \sqrt{(3+ \sqrt{1-\varepsilon^2})(1+3 \sqrt{1-\varepsilon^2})} \right] \!\,](../../images/93/9314.png)

