
Carboxylic acid
Background Information
This Schools selection was originally chosen by SOS Children for schools in the developing world without internet access. It is available as a intranet download. Click here for more information on SOS Children.
Carboxylic acids are organic acids characterized by the presence of a carboxyl group, which has the formula -C(=O)OH, usually written -COOH or -CO2H. Carboxylic acids are Brønsted-Lowry acids — they are proton donors. Salts and anions of carboxylic acids are called carboxylates.
The simplest series of carboxylic acids are the alkanoic acids, R-COOH, where R is a hydrogen or an alkyl group. Compounds may also have two or more carboxylic acid groups per molecule.
Physical properties
Carboxylic acids are polar, and form hydrogen bonds with each other. At high temperatures, in vapor phase, carboxylic acids usually exist as dimeric pairs. Lower carboxylic acids (1 to 4 carbons) are miscible with water, whereas higher carboxylic acids are very much less-soluble due to the increasing hydrophobic nature of the alkyl chain. They tend to be rather soluble in less-polar solvents such as ethers and alcohols.
Carboxylic acids are widespread in nature and are typically weak acids, meaning that they only partially dissociate into H+ cations and RCOO− anions in aqueous solution. For example, at room temperature, only 0.02 % of all acetic acid molecules are dissociated in water.
Since the carboxylic acids are weak acids, in water, both forms exist in an equilibrium:
- RCOOH ↔ RCOO− + H+
The acidity of carboxylic acids can be explained by either the stability of the acid or the stability of the conjugate base using inductive effects or resonance effects.
Stability of the acid
Using inductive effects, the acidity of carboxylic acids can be rationalized by the two electronegative oxygen atoms distorting the electron clouds surrounding the O-H bond, weakening it. The weak O-H bond causes the acid molecule to be less stable, and causing the hydrogen atom to be labile, thus it dissociates easily to give the H+ ion. Since the acid is unstable, the equilibrium will lie on the right.
Additional electronegative atoms or groups, such as chlorine or hydroxyl, substituted on the R-group have a similar, though lesser effect. The presence of these groups increases the acidity through inductive effects. For example, trichloroacetic acid (three -Cl groups) is a stronger acid than lactic acid (one -OH group), which in turn is stronger than acetic acid (no electronegative constituent).
Stability of the conjugate base
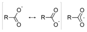
The acidity of a carboxylic acid can also be explained by resonance effects. The result of the dissociation of a carboxylic acid is a resonance stabilized product in which the negative charge is shared (delocalized) between the two oxygen atoms. Each of the carbon-oxygen bonds has what is called a partial double-bond characteristic. Since the conjugate base is stabilized, the above equilibrium lies on the right.
Spectroscopy
Carboxylic acids are most readily identified as such by infrared spectrometry. They exhibit a sharp C=O stretch between 1680 and 1725 cm−1, and the characteristic O-H stretch of the carboxyl group appears as a broad peak in the 2500 to 3000 cm−1 region.
In 1H NMR spectrometry, the hydroxyl hydrogen appears in the 10-13 ppm region, though it is often either broadened or not observed due to exchange with any traces of water.
Synthesis
- Carboxylic acids can be produced by oxidation of primary alcohols and aldehydes with strong oxidants such as Potassium Dichromate, Jones reagent, potassium permanganate, or sodium chlorite.
- They may also be produced by the oxidative cleavage of olefins by potassium permanganate or potassium dichromate. In particular, any alkyl group on a benzene ring will be fully oxidized to a carboxylic acid, regardless of its chain length. This is the basis for the industrial synthesis of benzoic acid from toluene.
- Carboxylic acids can also be obtained by the hydrolysis of nitriles, esters, or amides, with the addition of acid or base.
- They can also be prepared from the action of a Grignard reagent on carbon dioxide, though this method is not used in industry.
Carboxylic acids may also form from the following reactions:
- Disproportionation of an aldehyde in the Cannizzaro reaction
- Rearrangement of diketones in the benzilic acid rearrangement
- Halogenation followed by hydrolysis of methyl ketones in the haloform reaction
- Hydroformylation of an alkene followed by hydrolysis in the Koch reaction
- Less-common reactions involving the generation of benzoic acids are the von Richter reaction from nitrobenzenes and the Kolbe-Schmitt reaction from phenols.
Reactions
- Carboxylic acids react with bases to form carboxylate salts, in which the hydrogen of the hydroxyl (-OH) group is replaced with a metal cation. Thus, acetic acid found in vinegar reacts with sodium bicarbonate (baking soda) to form sodium acetate, carbon dioxide, and water:
- CH3COOH + NaHCO3 → CH3COONa + CO2 + H2O
- Carboxylic acids also react with alcohols and amines to give esters and amides. Like other alcohols and phenols, the hydroxyl group on carboxylic acids may be replaced with a chlorine atom using thionyl chloride to give acyl chlorides.
- As with all carbonyl compounds, the protons on the α-carbon are labile due to keto-enol tautomerization. Thus the α-carbon is easily halogenated in the Hell-Volhard-Zelinsky halogenation.
- The Arndt-Eistert synthesis inserts an α-methylene group into a carboxylic acid.
- The Curtius rearrangement converts carboxylic acids to isocyanates.
- The Schmidt reaction converts carboxylic acids to amines.
- Carboxylic acids are decarboxylated in the Hunsdiecker reaction.
- The Dakin-West reaction converts an amino acid to the corresponding amino ketone.
- In the Barbier-Wieland degradation (1912), the alpha-methylene group in an aliphatic carboxylic acid is removed in a sequence of reaction steps, effectively a chain-shortening .
- The addition of a carboxyl group to a compound is known as carboxylation; the removal of one is decarboxylation. Enzymes that catalyze these reactions are known as carboxylases ( EC 6.4.1) and decarboxylases (EC 4.1.1).
Nomenclature and examples
The carboxylate anion R-COO– is usually named with the suffix -ate, so acetic acid, for example, becomes acetate ion. In IUPAC nomenclature, carboxylic acids have an -oic acid suffix (e.g., octadecanoic acid). In common nomenclature, the suffix is usually -ic acid (e.g., stearic acid).
| Carbon atoms | Common name | IUPAC name | Chemical formula | Common location or use |
|---|---|---|---|---|
| 1 | Formic acid | Methanoic acid | HCOOH | Insect stings |
| 2 | Acetic acid | Ethanoic acid | CH3COOH | Vinegar |
| 3 | Propionic acid | Propanoic acid | CH3CH2COOH | |
| 4 | Butyric acid | Butanoic acid | CH3(CH2)2COOH | Rancid butter |
| 5 | Valeric acid | Pentanoic acid | CH3(CH2)3COOH | |
| 6 | Caproic acid | Hexanoic acid | CH3(CH2)4COOH | |
| 7 | Enanthic acid | Heptanoic acid | CH3(CH2)5COOH | |
| 8 | Caprylic acid | Octanoic acid | CH3(CH2)6COOH | |
| 9 | Pelargonic acid | Nonanoic acid | CH3(CH2)7COOH | |
| 10 | Capric acid | Decanoic acid | CH3(CH2)8COOH | |
| 12 | Lauric acid | Dodecanoic acid | CH3(CH2)10COOH | Coconut oil |
| 16 | Palmitic acid | Hexadecanoic acid | CH3(CH2)14COOH | |
| 18 | Stearic acid | Octadecanoic acid | CH3(CH2)16COOH |
Other carboxylic acids include:
- Short-chain unsaturated monocarboxylic acids
- Acrylic acid (2-propanoic acid) – CH2=CHCOOH, used in polymer synthesis
- Fatty acids – medium to long-chain saturated and unsaturated monocarboxylic acids, with even number of carbons
- Docosahexaenoic acid – nutritional supplement
- Eicosapentaenoic acid – nutritional supplement
- Amino acids – the building blocks of proteins
- Keto acids – acids of biochemical significance that contain a ketone group
- Pyruvic acid
- Acetoacetic acid
- Aromatic carboxylic acids
- Benzoic acid – C6H5COOH; sodium benzoate, the sodium salt of benzoic acid is used as a food preservative
- Salicylic acid – found in many skin care products
- Dicarboxylic acids – containing two carboxyl groups
- Aldaric acid – a family of sugar acids
- Oxalic acid – found in many foods
- Malonic acid
- Malic acid – found in apples
- Succinic acid – a component of the citric acid cycle
- Glutaric acid
- Adipic acid – the monomer used to produce nylon
- Tricarboxylic acids – containing three carboxyl groups
- Citric acid – found in citrus fruits
- Alpha hydroxy acids – containing a hydroxy group
- Lactic acid (2-hydroxypropanoic acid) – found in sour milk





