
Entropy
Did you know...
SOS Children volunteers helped choose articles and made other curriculum material SOS Child sponsorship is cool!

| Entropy articles |
|---|
| Introduction |
| History |
| Classical |
| Statistical |
In thermodynamics (a branch of physics), entropy is a measure of the unavailability of a system’s energy to do work.
It is a measure of the randomness of molecules in a system and is central to the second law of thermodynamics and the combined law of thermodynamics, which deal with physical processes and whether they occur spontaneously. Spontaneous changes, in isolated systems, occur with an increase in entropy. Spontaneous changes tend to smooth out differences in temperature, pressure, density, and chemical potential that may exist in a system, and entropy is thus a measure of how far this smoothing-out process has progressed.
The word "entropy" is derived from the Greek εντροπία "a turning toward" (εν- "in" + τροπή "a turning"), and is symbolized by S in physics.
Explanation
When a system's energy is defined as the sum of its "useful" energy, (e.g. that used to push a piston), and its "useless energy", i.e. that energy which cannot be used for external work, then entropy may be (most concretely) visualized as the "scrap" or "useless" energy whose energetic prevalence over the total energy of a system is directly proportional to the absolute temperature of the considered system. (Note the product "TS" in the Gibbs free energy or Helmholtz free energy relations).
Entropy is a function of a quantity of heat which shows the possibility of conversion of that heat into work. The increase in entropy is small when heat is added at high temperature and is greater when heat is added at lower temperature. Thus for maximum entropy there is minimum availability for conversion into work and for minimum entropy there is maximum availability for conversion into work.
Quantitatively, entropy is defined by the differential quantity
, where
is the amount of heat absorbed in an isothermal and reversible process in which the system goes from one state to another, and T is the absolute temperature at which the process is occurring. Entropy is one of the factors that determines the free energy of the system. This thermodynamic definition of entropy is only valid for a system in equilibrium (because temperature is defined only for a system in equilibrium), while the statistical definition of entropy (see below) applies to any system. Thus the statistical definition is usually considered the fundamental definition of entropy.
Entropy change has often been defined as a change to a more disordered state at a molecular level. In recent years, entropy has been interpreted in terms of the " dispersal" of energy. Entropy is an extensive state function that accounts for the effects of irreversibility in thermodynamic systems.
In terms of statistical mechanics, the entropy describes the number of the possible microscopic configurations of the system. The statistical definition of entropy is the more fundamental definition, from which all other definitions and all properties of entropy follow.
Origin of concept
The first law of thermodynamics, formalized through the heat-friction experiments of James Joule in 1843, deals with the concept of energy, which is conserved in all processes; the first law, however, lacks in its ability to quantify the effects of friction and dissipation.
The concept of entropy was developed in the 1850s by German physicist Rudolf Clausius who described it as the transformation-content, i.e. dissipative energy use, of a thermodynamic system or working body of chemical species during a change of state.
Although the concept of entropy was originally a thermodynamic construct, it has been adapted in other fields of study, including information theory, psychodynamics, thermoeconomics, and evolution.
History
The history of entropy begins with the work of French mathematician Lazare Carnot who in his 1803 paper Fundamental Principles of Equilibrium and Movement proposed that in any machine the accelerations and shocks of the moving parts all represent losses of moment of activity. In other words, in any natural process there exists an inherent tendency towards the dissipation of useful energy. Building on this work, in 1824 Lazare's son Sadi Carnot published Reflections on the Motive Power of Fire in which he set forth the view that in all heat-engines whenever " caloric", or what is now known as heat, falls through a temperature difference, that work or motive power can be produced from the actions of the "fall of caloric" between a hot and cold body. This was an early insight into the second law of thermodynamics.
Carnot based his views of heat partially on the early 18th century "Newtonian hypothesis" that both heat and light were types of indestructible forms of matter, which are attracted and repelled by other matter, and partially on the contemporary views of Count Rumford who showed in 1789 that heat could be created by friction as when cannon bores are machined. Accordingly, Carnot reasoned that if the body of the working substance, such as a body of steam, is brought back to its original state (temperature and pressure) at the end of a complete engine cycle, that "no change occurs in the condition of the working body." This latter comment was amended in his foot notes, and it was this comment that led to the development of entropy.
In the 1850s and 60s, German physicist Rudolf Clausius gravely objected to this latter supposition, i.e. that no change occurs in the working body, and gave this "change" a mathematical interpretation by questioning the nature of the inherent loss of usable heat when work is done, e.g. heat produced by friction. This was in contrast to earlier views, based on the theories of Isaac Newton, that heat was an indestructible particle that had mass. Later, scientists such as Ludwig Boltzmann, Josiah Willard Gibbs, and James Clerk Maxwell gave entropy a statistical basis. Carathéodory linked entropy with a mathematical definition of irreversibility, in terms of trajectories and integrability.
Definitions and descriptions
In science, the term "entropy" is generally interpreted in three distinct, but semi-related, ways, i.e. from macroscopic viewpoint (classical thermodynamics), a microscopic viewpoint (statistical thermodynamics), and an information viewpoint ( information theory).
The statistical definition of entropy (see below) is the fundamental definition because the other two can be mathematically derived from it, but not vice versa. All properties of entropy (including second law of thermodynamics) follow from this definition.
Macroscopic viewpoint (classical thermodynamics)
| Conjugate variables of thermodynamics |
|
|---|---|
| Pressure | Volume |
| ( Stress) | ( Strain) |
| Temperature | Entropy |
| Chemical potential | Particle number |
In a thermodynamic system, a "universe" consisting of "surroundings" and "systems" and made up of quantities of matter, its pressure differences, density differences, and temperature differences all tend to equalize over time - simply because equilibrium state has higher probability (more possible combinations of microstates) than any other - see statistical mechanics. In the ice melting example, the difference in temperature between a warm room (the surroundings) and cold glass of ice and water (the system and not part of the room), begins to be equalized as portions of the heat energy from the warm surroundings spread out to the cooler system of ice and water.
Over time the temperature of the glass and its contents and the temperature of the room become equal. The entropy of the room has decreased as some of its energy has been dispersed to the ice and water. However, as calculated in the example, the entropy of the system of ice and water has increased more than the entropy of the surrounding room has decreased. In an isolated system such as the room and ice water taken together, the dispersal of energy from warmer to cooler always results in a net increase in entropy. Thus, when the 'universe' of the room and ice water system has reached a temperature equilibrium, the entropy change from the initial state is at a maximum. The entropy of the thermodynamic system is a measure of how far the equalization has progressed.
A special case of entropy increase, the entropy of mixing, occurs when two or more different substances are mixed. If the substances are at the same temperature and pressure, there will be no net exchange of heat or work - the entropy increase will be entirely due to the mixing of the different substances.
From a macroscopic perspective, in classical thermodynamics the entropy is interpreted simply as a state function of a thermodynamic system: that is, a property depending only on the current state of the system, independent of how that state came to be achieved. The state function has the important property that, when multiplied by a reference temperature, it can be understood as a measure of the amount of energy in a physical system that cannot be used to do thermodynamic work; i.e., work mediated by thermal energy. More precisely, in any process where the system gives up energy ΔE, and its entropy falls by ΔS, a quantity at least TR ΔS of that energy must be given up to the system's surroundings as unusable heat (TR is the temperature of the system's external surroundings). Otherwise the process will not go forward.
In 1862, Clausius stated what he calls the “theorem respecting the equivalence-values of the transformations” or what is now known as the second law of thermodynamics, as such:
- The algebraic sum of all the transformations occurring in a cyclical process can only be positive, or, as an extreme case, equal to nothing.
Quantitatively, Clausius states the mathematical expression for this theorem is as follows. Let δQ be an element of the heat given up by the body to any reservoir of heat during its own changes, heat which it may absorb from a reservoir being here reckoned as negative, and T the absolute temperature of the body at the moment of giving up this heat, then the equation:
must be true for every reversible cyclical process, and the relation:
must hold good for every cyclical process which is in any way possible. This is the essential formulation of the second law and one of the original forms of the concept of entropy. It can be seen that the dimensions of entropy are energy divided by temperature, which is the same as the dimensions of Boltzmann's constant (kB) and heat capacity. The SI unit of entropy is " joule per kelvin" (J·K−1). In this manner, the quantity "ΔS" is utilized as a type of internal energy, which accounts for the effects of irreversibility, in the energy balance equation for any given system. In the Gibbs free energy equation, i.e. ΔG = ΔH - TΔS, for example, which is a formula commonly utilized to determine if chemical reactions will occur, the energy related to entropy changes TΔS is subtracted from the "total" system energy ΔH to give the "free" energy ΔG of the system, as during a chemical process or as when a system changes state.
Microscopic definition of entropy (statistical mechanics)
In statistical thermodynamics the entropy is defined as the number of microscopic configurations that result in the observed macroscopic description of the thermodynamic system:
where
- kB is Boltzmann's constant 1.38066×10−23 J K−1 and
is the number of microstates corresponding to the observed thermodynamic macrostate.
This definition is considered to be the fundamental definition of entropy (as all other definitions can be mathematically derived from it, but not vice versa). In Boltzmann's 1896 Lectures on Gas Theory, he showed that this expression gives a measure of entropy for systems of atoms and molecules in the gas phase, thus providing a measure for the entropy of classical thermodynamics.
In 1877, Boltzmann visualized a probabilistic way to measure the entropy of an ensemble of ideal gas particles, in which he defined entropy to be proportional to the logarithm of the number of microstates such a gas could occupy. Henceforth, the essential problem in statistical thermodynamics, i.e. according to Erwin Schrödinger, has been to determine the distribution of a given amount of energy E over N identical systems.
Statistical mechanics explains entropy as the amount of uncertainty (or "mixedupness" in the phrase of Gibbs) which remains about a system, after its observable macroscopic properties have been taken into account. For a given set of macroscopic variables, like temperature and volume, the entropy measures the degree to which the probability of the system is spread out over different possible quantum states. The more states available to the system with higher probability, the greater the entropy. More specifically, entropy is a logarithmic measure of the density of states. In essence, the most general interpretation of entropy is as a measure of our uncertainty about a system. The equilibrium state of a system maximizes the entropy because we have lost all information about the initial conditions except for the conserved variables; maximizing the entropy maximizes our ignorance about the details of the system. This uncertainty is not of the everyday subjective kind, but rather the uncertainty inherent to the experimental method and interpretative model.
On the molecular scale, the two definitions match up because adding heat to a system, which increases its classical thermodynamic entropy, also increases the system's thermal fluctuations, so giving an increased lack of information about the exact microscopic state of the system, i.e. an increased statistical mechanical entropy.
The interpretative model has a central role in determining entropy. The qualifier "for a given set of macroscopic variables" above has very deep implications: if two observers use different sets of macroscopic variables, then they will observe different entropies. For example, if observer A uses the variables U, V and W, and observer B uses U, V, W, X, then, by changing X, observer B can cause an effect that looks like a violation of the second law of thermodynamics to observer A. In other words: the set of macroscopic variables one chooses must include everything that may change in the experiment, otherwise one might see decreasing entropy!
Entropy in chemical thermodynamics
Thermodynamic entropy is central in chemical thermodynamics, enabling changes to be quantified and the outcome of reactions predicted. The second law of thermodynamics states that entropy in the combination of a system and its surroundings (or in an isolated system by itself) increases during all spontaneous chemical and physical processes. Spontaneity in chemistry means “by itself, or without any outside influence”, and has nothing to do with speed. The Clausius equation of δqrev/T = ΔS introduces the measurement of entropy change, ΔS. Entropy change describes the direction and quantitates the magnitude of simple changes such as heat transfer between systems – always from hotter to cooler spontaneously. Thus, when a mole of substance at 0 K is warmed by its surroundings to 298 K, the sum of the incremental values of qrev/T constitute each element's or compound's standard molar entropy, a fundamental physical property and an indicator of the amount of energy stored by a substance at 298 K. Entropy change also measures the mixing of substances as a summation of their relative quantities in the final mixture.
Entropy is equally essential in predicting the extent of complex chemical reactions, i.e. whether a process will go as written or proceed in the opposite direction. For such applications, ΔS must be incorporated in an expression that includes both the system and its surroundings, ΔSuniverse = ΔSsurroundings + ΔS system. This expression becomes, via some steps, the Gibbs free energy equation for reactants and products in the system: ΔG [the Gibbs free energy change of the system] = ΔH [the enthalpy change] −T ΔS [the entropy change].
The second law
An important law of physics, the second law of thermodynamics, states that the total entropy of any isolated thermodynamic system tends to increase over time, approaching a maximum value; and so, by implication, the entropy of the universe (i.e. the system and its surroundings), assumed as an isolated system, tends to increase. Two important consequences are that heat cannot of itself pass from a colder to a hotter body: i.e., it is impossible to transfer heat from a cold to a hot reservoir without at the same time converting a certain amount of work to heat. It is also impossible for any device that can operate on a cycle to receive heat from a single reservoir and produce a net amount of work; it can only get useful work out of the heat if heat is at the same time transferred from a hot to a cold reservoir. This means that there is no possibility of an isolated " perpetual motion" system. Also, from this it follows that a reduction in the increase of entropy in a specified process, such as a chemical reaction, means that it is energetically more efficient.
In general, according to the second law, the entropy of a system that is not isolated may decrease. An air conditioner, for example, cools the air in a room, thus reducing the entropy of the air. The heat, however, involved in operating the air conditioner always makes a bigger contribution to the entropy of the environment than the decrease of the entropy of the air. Thus the total entropy of the room and the environment increases, in agreement with the second law.
Entropy balance equation for open systems
In chemical engineering, the principles of thermodynamics are commonly applied to " open systems", i.e. those in which heat, work, and mass flow across the system boundary. In a system in which there are flows of both heat (
) and work, i.e.
(shaft work) and P(dV/dt) (pressure-volume work), across the system boundaries, the heat flow, but not the work flow, causes a change in the entropy of the system. This rate of entropy change is
where T is the absolute thermodynamic temperature of the system at the point of the heat flow. If, in addition, there are mass flows across the system boundaries, the total entropy of the system will also change due to this convected flow.
To derive a generalized entropy balanced equation, we start with the general balance equation for the change in any extensive quantity Θ in a thermodynamic system, a quantity that may be either conserved, such as energy, or non-conserved, such as entropy. The basic generic balance expression states that dΘ/dt, i.e. the rate of change of Θ in the system, equals the rate at which Θ enters the system at the boundaries, minus the rate at which Θ leaves the system across the system boundaries, plus the rate at which Θ is generated within the system. Using this generic balance equation, with respect to the rate of change with time of the extensive quantity entropy S, the entropy balance equation for an open thermodynamic system is:
where
= the net rate of entropy flow due to the flows of mass into and out of the system (where
= entropy per unit mass).
= the rate of entropy flow due to the flow of heat across the system boundary.
= the rate of internal generation of entropy within the system.
Note, also, that if there are multiple heat flows, the term
is to be replaced by
where
is the heat flow and
is the temperature at the jth heat flow port into the system.
Entropy in quantum mechanics (von Neumann entropy)
In quantum statistical mechanics, the concept of entropy was developed by John von Neumann and is generally referred to as "von Neumann entropy". Von Neumann established the correct mathematical framework for quantum mechanics with his work Mathematische Grundlagen der Quantenmechanik. He provided in this work a theory of measurement, where the usual notion of wave collapse is described as an irreversible process (the so called von Neumann or projective measurement). Using this concept, in conjunction with the density matrix he extended the classical concept of entropy into the quantum domain.
It is well known that a Shannon based definition of information entropy leads in the classical case to the Boltzmann entropy. It is tempting to regard the Von Neumann entropy as the corresponding quantum mechanical definition. But the latter is problematic from quantum information point of view. Consequently Stotland, Pomeransky, Bachmat and Cohen have introduced a new definition of entropy that reflects the inherent uncertainty of quantum mechanical states. This definition allows to distinguish between the minimum uncertainty entropy of pure states, and the excess statistical entropy of mixtures.
Entropy in Astrophysics
In astrophysics, what is referred to as "entropy" is actually the adiabatic constant derived as follows.
Using the first law of thermodynamics for a quasi-static, infinitesimal process for a hydrostatic system
For an ideal gas in this special case, the internal energy, U, is only a function of T; therefore the partial derivative of heat capacity with respect to T is identically the same as the full derivative, yielding through some manipulation
Further manipulation using the differential version of the ideal gas law, the previous equation, and assuming constant pressure, one finds
For an adiabatic process
and recalling
, one finds
One can solve this simple differential equation to find
This equation is known as an expression for the adiabatic constant, K, also called the adiabat. From the ideal gas equation one also knows
where
is Boltzmann's constant. Substituting this into the above equation along with
and
for an ideal monoatomic gas one finds
where
is the mean molecular weight of the gas or plasma; and
is the mass of the Hydrogen atom, which is extremely close to the mass of the proton,
, the quantity more often used in astrophysical theory of galaxy clusters. This is what astrophysicists refer to as "entropy" and has units of [keV cm2]. This quantity relates to the thermodynamic entropy as
where
, the density of states in statistical theory, takes on the value of K as defined above.
Standard textbook definitions
The following is a list of definitions of entropy from a collection of textbooks. Note that textbook definitions are not always the most helpful definitions, but they are an important aspect of the culture surrounding the concept of entropy.
- Entropy – energy broken down in irretrievable heat.
- Boltzmann's constant times the logarithm of a multiplicity; where the multiplicity of a macrostate is the number of microstates that correspond to the macrostate.
- the number of ways of arranging things in a system (times the Boltzmann's constant).
- a non-conserved thermodynamic state function, measured in terms of the number of microstates a system can assume, which corresponds to a degradation in usable energy.
- a direct measure of the randomness of a system.
- a measure of energy dispersal at a specific temperature.
- a measure of the partial loss of the ability of a system to perform work due to the effects of irreversibility.
- an index of the tendency of a system towards spontaneous change.
- a measure of the unavailability of a system’s energy to do work; also a measure of disorder; the higher the entropy the greater the disorder.
- a parameter representing the state of disorder of a system at the atomic, ionic, or molecular level.
- a measure of disorder in the universe or of the availability of the energy in a system to do work.
Approaches to understanding entropy
Order and disorder
Entropy, historically, has often been associated with the amount of order, disorder, and/or chaos in a thermodynamic system. The traditional definition of entropy is that it refers to changes in the status quo of the system and is a measure of "molecular disorder" and the amount of wasted energy in a dynamical energy transformation from one state or form to another. In this direction, a number of authors, in recent years, have derived exact entropy formulas to account for and measure disorder and order in atomic and molecular assemblies. One of the simpler entropy order/disorder formulas is that derived in 1984 by thermodynamic physicist Peter Landsberg, which is based on a combination of thermodynamics and information theory arguments. Landsberg argues that when constraints operate on a system, such that it is prevented from entering one or more of its possible or permitted states, as contrasted with its forbidden states, the measure of the total amount of “disorder” in the system is given by the following expression:
Similarly, the total amount of "order" in the system is given by:
In which CD is the "disorder" capacity of the system, which is the entropy of the parts contained in the permitted ensemble, CI is the "information" capacity of the system, an expression similar to Shannon's channel capacity, and CO is the "order" capacity of the system.
Energy dispersal
The concept of entropy can be described qualitatively as a measure of energy dispersal at a specific temperature. Similar terms have been in use from early in the history of classical thermodynamics, and with the development of statistical thermodynamics and quantum theory, entropy changes have been described in terms of the mixing or "spreading" of the total energy of each constituent of a system over its particular quantized energy levels.
Ambiguities in the terms disorder and chaos, which usually have meanings directly opposed to equilibrium, contribute to widespread confusion and hamper comprehension of entropy for most students. As the second law of thermodynamics shows, in an isolated system internal portions at different temperatures will tend to adjust to a single uniform temperature and thus produce equilibrium. A recently developed educational approach avoids ambiguous terms and describes such spreading out of energy as dispersal, which leads to loss of the differentials required for work even though the total energy remains constant in accordance with the first law of thermodynamics. Physical chemist Peter Atkins, for example, who previously wrote of dispersal leading to a disordered state, now writes that "spontaneous changes are always accompanied by a dispersal of energy", and has discarded 'disorder' as a description.
Entropy and Information theory
In information theory, entropy is the measure of the amount of information that is missing before reception and is sometimes referred to as Shannon entropy. Shannon entropy is a broad and general concept which finds applications in information theory as well as thermodynamics. It was originally devised by Claude Shannon in 1948 to study the amount of information in a transmitted message. The definition of the information entropy is, however, quite general, and is expressed in terms of a discrete set of probabilities
. In the case of transmitted messages, these probabilities were the probabilities that a particular message was actually transmitted, and the entropy of the message system was a measure of how much information was in the message. For the case of equal probabilities (i.e. each message is equally probable), the Shannon entropy (in bits) is just the number of yes/no questions needed to determine the content of the message.
The question of the link between information entropy and thermodynamic entropy is a hotly debated topic. Some authors argue that there is a link between the two, while others will argue that they have absolutely nothing to do with each other.
The expressions for the two entropies are very similar. The information entropy H for equal probabilities
is:
where K is a constant which determines the units of entropy. For example, if the units are bits, then K=1/ln(2). The thermodynamic entropy S , from a statistical mechanical point of view was first expressed by Boltzmann:
where p is the probability of a system being in a particular microstate, given that it is in a particular macrostate, and k is Boltzmann's constant. It can be seen that one may think of the thermodynamic entropy as Boltzmann's constant, divided by ln(2), times the number of yes/no questions that must be asked in order to determine the microstate of the system, given that we know the macrostate. The link between thermodynamic and information entropy was developed in a series of papers by Edwin Jaynes beginning in 1957.
The problem with linking thermodynamic entropy to information entropy is that in information entropy the entire body of thermodynamics which deals with the physical nature of entropy is missing. The second law of thermodynamics which governs the behaviour of thermodynamic systems in equilibrium, and the first law which expresses heat energy as the product of temperature and entropy are physical concepts rather than informational concepts. If thermodynamic entropy is seen as including all of the physical dynamics of entropy as well as the equilibrium statistical aspects, then information entropy gives only part of the description of thermodynamic entropy. Some authors, like Tom Schneider, argue for dropping the word entropy for the H function of information theory and using Shannon's other term "uncertainty" instead.
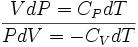
Ice melting example
The illustration for this article is a classic example in which entropy increases in a small 'universe', a thermodynamic system consisting of the 'surroundings' (the warm room) and 'system' (glass, ice, cold water). In this universe, some heat energy δQ from the warmer room surroundings (at 298 K or 25 °C) will spread out to the cooler system of ice and water at its constant temperature T of 273 K (0 °C), the melting temperature of ice. The entropy of the system will change by the amount dS = δQ/T, in this example δQ/273 K. (The heat δQ for this process is the energy required to change water from the solid state to the liquid state, and is called the enthalpy of fusion, i.e. the ΔH for ice fusion.) The entropy of the surroundings will change by an amount dS = −δQ/298 K. So in this example, the entropy of the system increases, whereas the entropy of the surroundings decreases.
It is important to realize that the decrease in the entropy of the surrounding room is less than the increase in the entropy of the ice and water: the room temperature of 298 K is larger than 273 K and therefore the ratio, (entropy change), of δQ/298 K for the surroundings is smaller than the ratio (entropy change), of δQ/273 K for the ice+water system. To find the entropy change of our "universe", we add up the entropy changes for its constituents: the surrounding room, and the ice+water. The total entropy change is positive; this is always true in spontaneous events in a thermodynamic system and it shows the predictive importance of entropy: the final net entropy after such an event is always greater than was the initial entropy.
As the temperature of the cool water rises to that of the room and the room further cools imperceptibly, the sum of the δQ/T over the continuous range, at many increments, in the initially cool to finally warm water can be found by calculus. The entire miniature "universe", i.e. this thermodynamic system, has increased in entropy. Energy has spontaneously become more dispersed and spread out in that "universe" than when the glass of ice water was introduced and became a "system" within it.
Topics in entropy
Entropy and life
For over a century and a half, beginning with Clausius' 1863 memoir "On the Concentration of Rays of Heat and Light, and on the Limits of its Action", much writing and research has been devoted to the relationship between thermodynamic entropy and the evolution of life. The argument that life feeds on negative entropy or negentropy as put forth in the 1944 book What is Life? by physicist Erwin Schrödinger served as a further stimulus to this research. Recent writings have utilized the concept of Gibbs free energy to elaborate on this issue. Tangentially, some creationists have argued that entropy rules out evolution.
In the popular 1982 textbook Principles of Biochemistry by noted American biochemist Albert Lehninger, for example, it is argued that the order produced within cells as they grow and divide is more than compensated for by the disorder they create in their surroundings in the course of growth and division. In short, according to Lehninger, "living organisms preserve their internal order by taking from their surroundings free energy, in the form of nutrients or sunlight, and returning to their surroundings an equal amount of energy as heat and entropy."
Evolution related definitions:
- Negentropy - a shorthand colloquial phrase for negative entropy.
- Ectropy - a measure of the tendency of a dynamical system to do useful work and grow more organized.
- Syntropy - a tendency towards order and symmetrical combinations and designs of ever more advantageous and orderly patterns.
- Extropy – a metaphorical term defining the extent of a living or organizational system's intelligence, functional order, vitality, energy, life, experience, and capacity and drive for improvement and growth.
- Ecological entropy - a measure of biodiversity in the study of biological ecology.
The arrow of time
Entropy is the only quantity in the physical sciences that "picks" a particular direction for time, sometimes called an arrow of time. As we go "forward" in time, the Second Law of Thermodynamics tells us that the entropy of an isolated system can only increase or remain the same; it cannot decrease. Hence, from one perspective, entropy measurement is thought of as a kind of clock.
Entropy and cosmology
As a finite universe may be considered an isolated system, it may be subject to the Second Law of Thermodynamics, so that its total entropy is constantly increasing. It has been speculated that the universe is fated to a heat death in which all the energy ends up as a homogeneous distribution of thermal energy, so that no more work can be extracted from any source.
If the universe can be considered to have generally increasing entropy, then - as Roger Penrose has pointed out - gravity plays an important role in the increase because gravity causes dispersed matter to accumulate into stars, which collapse eventually into black holes. Jacob Bekenstein and Stephen Hawking have shown that black holes have the maximum possible entropy of any object of equal size. This makes them likely end points of all entropy-increasing processes, if they are totally effective matter and energy traps. Hawking has, however, recently changed his stance on this aspect.
The role of entropy in cosmology remains a controversial subject. Recent work has cast extensive doubt on the heat death hypothesis and the applicability of any simple thermodynamic model to the universe in general. Although entropy does increase in the model of an expanding universe, the maximum possible entropy rises much more rapidly - thus entropy density is decreasing with time. This results in an "entropy gap" pushing the system further away from equilibrium. Other complicating factors, such as the energy density of the vacuum and macroscopic quantum effects, are difficult to reconcile with thermodynamical models, making any predictions of large-scale thermodynamics extremely difficult.
Other relations
Other mathematical definitions
- Kolmogorov-Sinai entropy - a mathematical type of entropy in dynamical systems related to measures of partitions.
- Topological entropy - a way of defining entropy in an iterated function map in ergodic theory.
- Relative entropy - is a natural distance measure from a "true" probability distribution P to an arbitrary probability distribution Q.
- Rényi entropy - a generalized entropy measure for fractal systems.
Sociological definitions
The concept of entropy has also entered the domain of sociology, generally as a metaphor for chaos, disorder or dissipation of energy, rather than as a direct measure of thermodynamic or information entropy:
- Entropology – the study or discussion of entropy or the name sometimes given to thermodynamics without differential equations.
- Psychological entropy - the distribution of energy in the psyche, which tends to seek equilibrium or balance among all the structures of the psyche.
- Economic entropy – a semi-quantitative measure of the irrevocable dissipation and degradation of natural materials and available energy with respect to economic activity.
- Social entropy – a measure of social system structure, having both theoretical and statistical interpretations, i.e. society (macrosocietal variables) measured in terms of how the individual functions in society (microsocietal variables); also related to social equilibrium.
- Corporate entropy - energy waste as red tape and business team inefficiency, i.e. energy lost to waste. (This definition is comparable to von Clausewitz's concept of friction in war.)
Quotes
| “ | Any method involving the notion of entropy, the very existence of which depends on the second law of thermodynamics, will doubtless seem to many far-fetched, and may repel beginners as obscure and difficult of comprehension. | ” |
-
-
-
-
-
-
-
-
-
-
-
-
-
-
- --Willard Gibbs, Graphical Methods in the Thermodynamics of Fluids (1873)
-
-
-
-
-
-
-
-
-
-
-
-
-
| “ | My greatest concern was what to call it. I thought of calling it ‘information’, but the word was overly used, so I decided to call it ‘uncertainty’. When I discussed it with John von Neumann, he had a better idea. Von Neumann told me, ‘You should call it entropy, for two reasons. In the first place your uncertainty function has been used in statistical mechanics under that name, so it already has a name. In the second place, and more important, nobody knows what entropy really is, so in a debate you will always have the advantage. | ” |
-
-
-
-
-
-
-
-
-
-
-
-
-
-
- --Conversation between Claude Shannon and John von Neumann regarding what name to give to the “measure of uncertainty” or attenuation in phone-line signals (1949)
-
-
-
-
-
-
-
-
-
-
-
-
-
| “ | Every star that burns, every planet whose orbit is slowly decaying, every breath you take and calorie you metabolize brings the universe closer and closer to the point when the entropy is maximized, organized movement of any kind ceases, and nothing ever happens again. There is no escape. No matter how magnificent life in the universe becomes or how advanced, the slow increase in entropy cannot be stopped - the universe will eventually die. | ” |
-
-
-
-
-
-
-
-
-
-
-
-
-
-
- --Warren Friedl, University of Windsor (2007)
-
-
-
-
-
-
-
-
-
-
-
-
-




















